พณ.แจงปมเช็คจีทูจี 8 หมื่นบาทเป็นข้าวเหลือระหว่างขนส่ง
โฆษก พณ.แจงปม ป.ป.ช.ตั้งข้อสังเกตเช็คจีทูจีข้าว 8 หมื่นบาท ยันเป็นไปตามขั้นตอนปกติ เผยขั้นตอนชำระเงินตามปริมาณขนย้าย ชี้ตัวเลขดังกล่าวเป็นข้าวล็อตสุดท้าย 5 ตัน อุบไม่มีรู้เป็นสัญญากับบริษัทใด

วันที่ 11 ก.ค. นายวุฒิไกร ลีวีระพันธุ์ โฆษกประจำกระทรวงพาณิชย์ แถลงข่าว เรื่อง "เช็ค 8 หมื่นบาท ข้าว จีทูจี" ณ ห้องกิติยากรวรลักษณ์ ชั้น 4 อาคารสำนักงานปลัดกระทรวงพาณิชย์ จากรณีที่ก่อนหน้านี้ สำนักงานคณะกรรมการป้องกันและปราบปรามการทุจริตแห่งชาติ (ป.ป.ช.) โดยนายวิชา มหาคุณ กรรมการ ป.ป.ช. ในฐานะอนุกรรมการไต่สวนการทุจริตโครงการรับจำนำข้าว กล่าวถึงความคืบหน้ากรณีตรวจสอบแคชเชียร์เช็คที่เกี่ยวกับการระบายข้าวแบบรัฐต่อรัฐ (จีทูจี) จำนวน 1,460 ฉบับ ที่ได้รับจากกระทรวงพาณิชย์ว่า มีเช็คหลายฉบับที่เป็นเงินจำนวนไม่กี่หมื่นบาท ซึ่งหากเปิดตัวเลขก็จะทราบว่าเป็นจีทูจีหรือไม่ เนื่องจากการทำจีทูจี ทำการค้าระหว่างรัฐต่อรัฐ คงไม่มีการจ่ายเช็คเพียง 8 หมื่นกว่าบาท
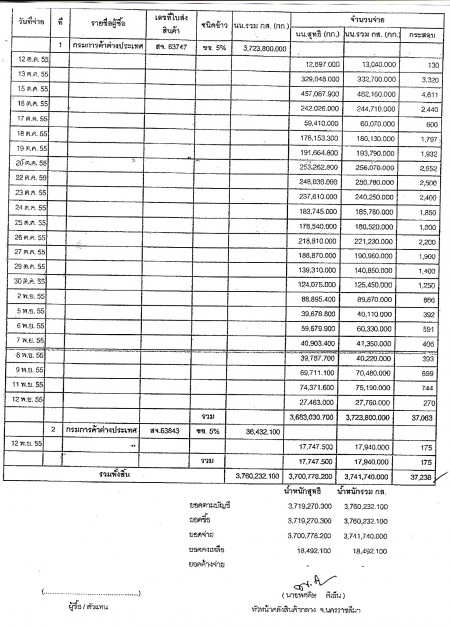
กรณีนี้ นายวุฒิไกร ชี้แจงว่า ทางกระทรวงพาณิชย์ได้ตรวจสอบการสั่งจ่ายเช็ครายย่อยดังกล่าว พบว่าเป็นไปตามขั้นตอนการรับมอบข้าวตามปกติ โดยการซื้อขายข้าวแบบจีทูจี และการขายให้องค์กรหรือหน่วยงานของรัฐ ผู้ซื้อจะต้องซื้อยกคลัง (เหมาหลัง) และผู้ซื้อจะทยอยชำระเงินและรับยมอบข้าวตามปริมาณที่ชำระแต่ละงวด
โดยผู้ซื้อจะมอบหมายผู้แทนมาตรวจสอบข้าวในคลังสินค้ากลาง เพื่อให้ได้ปริมาณและคุณภาพเป็นไปตามสัญญา ซึ่งข้าวในโกดังจะจัดเก็บในลักษณะบรรจุกระสอบตั้งเป็นกอง กองละประมาณ 2,000 ตัน ในแต่ละกระสอบจะมีน้ำหนักเนื้อข้าวรวมกระสอบประมาณ 100 กิโลกรัม เมื่อถึงกำหนดรับมอบ ผู้ซื้อจะจัดหารถบรรทุกมาขนย้ายข้าวจากโกดัง ซึ่งรถบรรทุก 1 คัน สามารถขนได้ประมาณ 20 ตัน จึงจำเป็นต้องทยอยขนรับมอบ ไม่สามารถขนย้ายได้ในครั้งเดียว
ทั้งนี้ การรับมอบข้าวแต่ละครั้ง ผู้ซื้อจะชำระเงินค่าข้าวก่อนขนย้าย ตามปริมาณการขนย้าย จากการทยอยรับมอบดังกล่าวทำให้อาจมีปริมาณสุดท้ายคงเหลือเป็นปริมาณไม่กี่ตัน หรือเพียงไม่กี่กระสอบ
ซึ่งในกรณีตามที่เป็นข่าวดังกล่าว นายวุฒิไกร แจงว่า ข้าวที่ขนย้ายไปแล้วมีจำนวนคงเหลือประมาณ 5 ตัน หรือประมาณ 50 กระสอบ ทำให้มีจำนวนเงินในการสั่งจ่ายเป็นเงินประมาณ 8 หมื่นบาท
"กระทรวงพาณิชย์ยืนยันว่า ขั้นตอนดังกล่าวเป็นไปตามหลักปฏิบัติในการรับมอบข้าวที่ได้ทำมาโดยตลอด ทั้งการซื้อขายแบบจีทูจี การขายทั่วไป และการขายให้องค์กรหรือหน่วยงานของรัฐ"
ขณะที่ผู้สื่อข่าวสอบถามว่าจำนวนเช็ค 8 หมื่นบาทดังกล่าวนั้น เป็นของบริษัทใด หรือเป็นสัญญาจีทูจีกับประเทศใด โฆษกประจำกระทรวงพาณิชย์ ยังไม่มีข้อมูลดังกล่าว ต้องสอบถามจากกรมการค้าระหว่างประเทศ
เอกสารประกอบการแถลง
